混淆矩阵 ( Confusion Matrix ) 是分类模型的一种评估指标。它是使用一种特定的矩阵来呈现算法性能的可视化效果,通常是监督学习。(非监督学习,通常用匹配矩阵:m atching matrix ) 其每一列代表预测值,每一行代表的是实际的类别。这个名字来源于它可以非常容易的表明多个类别是否有混淆(也就是一个 class 被预测成另一个 class )。
# 举例
我们以 是否感染新冠肺炎的模型来演示 混淆矩阵。
按照定义,我们可以得到如下矩阵。

横向看上图,预测感染新冠为 Positive , 即为阳性, 未感染新冠为 Negative , 即 阴性。
纵向看上图,预测正确的为 True , 预测错误的为 False .
所以会得出 如下四种结果;
True Positive:TP, 真阳性,即预测结果是新冠,真实值也是新冠。True Negative:TN, 真阴性,即预测结果是未感染,真实也未感染新冠。
这两个结果是模型预测正确的结果,也是我们最想得到的部分,这两部分所占比重越大,模型效果越好。对应上图中绿色部分。其占比成为模型的准确率。
False Positive:FP, 假阳性,即预测得了新冠,但是实际人并没有感染新冠。这种的属于误报。其占比属于误报率。在统计学中,FP又称为 第一类错误 (Type Error I,被判定为真的假)False Negative:FN, 假阴性,即预测没有感染新冠,但是实例已经感染了新冠。这种属于漏报率。其占比成为漏报率。FN又称为 第二类错误 (Type Error II, 被判定为假的真)
这两种情况,是模型预测错误的场景,所占比重越低越好。对应上图中红色部分。
# 指标
很多指标都是从混淆矩阵发展出来的。在例子中,我们已经知道了准确率,误报率,漏报率。
以图为例,我们来详细的看下分类模型中混淆矩阵的相关指标.

# 🔥🔥准确率
那么,本例子中的准确率,就是: (10+30)/100=40%
理解成本最低,但不要滥用。在样本不均衡情况下,指标结果容易出现较大偏差;
# 🔥🔥精确率
精确率是判断模型识别出来的结果有多精确的指标。对应到信用评分的产品上,就是模型找到的真的坏人(对应混淆矩阵中的)的比率占模型找到的所有坏人(对应混淆矩阵中的 )的比率。
用于关注筛选结果是不是正确的场景,宁可没有预测出来,也不能预测错了。比如,在刷脸支付的场景下,我们宁可告诉用户检测不通过,也不能让另外一个人的人脸通过检测。
精确率,又称为 查准率.
# 漏报率 (FNR)
那么,本例子中的漏报率,就是: 20/(10+20)=66.67%
# 误报率
那么,本例子中的漏报率,就是: 40/(40+30)=37.14%
# 🔥🔥召回率
表示实际患者中,预测患病成功的概率. Recall Rate 又称为 Sensitive , 查全率。预测感染占实际感染的额比率。即预测为真占实际为真的比率。
用于关注筛选结果是不是全面的场景,“宁可错杀一千,绝不放过一个”。
# Specificity
表示未患病中,预测未患病成功的概率。
这两个指标的出现,能更好的帮你比较模型间的差异,并在其中做出取舍。例如当两个模型的 Accuracy 相近时,如果你更看重于预测患病的效果,你应该选 Sensitivity 值较高的;相反,如果你更看重于预测未患病的效果,你就应该选择 Specificity 较高的。
# 🔥🔥F1 Score
F1 可以综合反应精确率 和召回率。 F1 值越高,代表模型在精确率 和 召回率的综合表现越好。
# P-R 曲线
P 表示查准率 (或者精确率), 计算公式是: \frac{TP}
R 表示查全率 (或者召回率,Sensitive), 计算公式是: \frac{TP}
P-R 曲线是描述查准率 / 查全率变化的曲线, P-R 曲线定义如下:根据学习器的预测结果(一般为一个实值或概率)对测试样本进行排序,将最可能是 “正例” 的样本排在前面,最不可能是 “正例” 的排在后面,按此顺序逐个把样本作为 “正例” 进行预测,每次计算出当前的 P 值和 R 值,如下图所示:

# 如何看 P-R 曲线?
P-R 曲线如何评估呢?若一个 学习器A 的 P-R 曲线被另一个 学习器B 的 P-R 曲线完全包住,则称: B 的性能优于 A 。若 A 和 B 的曲线发生了交叉,则谁的曲线下的面积大,谁的性能更优。但一般来说,曲线下的面积是很难进行估算的,所以衍生出了 “平衡点”( Break-Event Point ,简称 BEP ),即当 P=R 时的取值,平衡点的取值越高,性能更优。
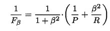
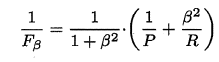
P 和 R 指标有时会出现矛盾的情况,这样就需要综合考虑他们,最常见的方法就是 F-Measure,又称 F-Score。F-Measure 是 P 和 R 的加权调和平均,即:

特别地,当 β=1 时,也就是常见的 F1 度量,是 P 和 R 的调和平均,当 F1 较高时,模型的性能越好。


有时候我们会有多个二分类混淆矩阵,例如:多次训练或者在多个数据集上训练,那么估算全局性能的方法有两种,分为宏观和微观。简单理解,宏观就是先算出每个混淆矩阵的 P 值和 R 值,然后取得平均 P 值 macro-P 和平均 R 值 macro-R ,在算出 Fβ 或 F1 ,而微观则是计算出混淆矩阵的平均 TP 、 FP 、 TN 、 FN ,接着进行计算 P 、 R ,进而求出 Fβ 或 F1 。
# 🔥🔥ROC 曲线 和 AUC
ROC 曲线与 P-R 曲线十分类似,都是按照排序的顺序逐一按照正例预测,不同的是 ROC 曲线以 “真正例率”( True Positive Rate ,简称 TPR , 计算公式: )为横轴,纵轴为 “假正例率”( False Positive Rate ,简称 FPR , 计算公式: , 又称为特异性。 Specificity 。), ROC 偏重研究基于测试样本评估值的排序好坏。

简单分析图像,可以得知:当 FN=0 时, TN 也必须 0 ,反之也成立,我们可以画一个队列,试着使用不同的截断点(即阈值)去分割队列,来分析曲线的形状, (0,0) 表示将所有的样本预测为负例, (1,1) 则表示将所有的样本预测为正例, (0,1) 表示正例全部出现在负例之前的理想情况, (1,0) 则表示负例全部出现在正例之前的最差情况。
# 怎么看 ROC 曲线呢?
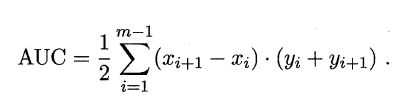
若一个学习器 A 的 ROC 曲线被另一个学习器 B 的 ROC 曲线完全包住,则称 B 的性能优于 A 。若 A 和 B 的曲线发生了交叉,则谁的曲线下的面积大,谁的性能更优。 ROC 曲线下的面积定义为 AUC ( Area Uder ROC Curve ),不同于 P-R 的是,这里的 AUC 是可估算的,即 AOC 曲线下每一个小矩形的面积之和。易知: AUC 越大,证明排序的质量越好, AUC 为 1 时,证明所有正例排在了负例的前面, AUC 为 0 时,所有的负例排在了正例的前面。
AUC 计算公式:

# 代价敏感错误率与代价曲线
上面的方法中,将学习器的犯错同等对待,但在现实生活中,将正例预测成假例与将假例预测成正例的代价常常是不一样的,例如:将无疾病–> 有疾病只是增多了检查,但有疾病–> 无疾病却是增加了生命危险。以二分类为例,由此引入了 “代价矩阵”( cost matrix )。
在非均等错误代价下,我们希望的是最小化 “总体代价”,这样 “代价敏感” 的错误率为:

同样对于 ROC 曲线,在非均等错误代价下,演变成了 “代价曲线”,代价曲线横轴是取值在 [0,1] 之间的正例概率代价,式中 p 表示正例的概率,纵轴是取值为 [0,1] 的归一化代价。


代价曲线的绘制很简单:设 ROC 曲线上一点的坐标为 ( TPR , FPR ) ,则可相应计算出 FNR ,然后在代价平面上绘制一条从 ( 0 , FPR ) 到 ( 1 , FNR ) 的线段,线段下的面积即表示了该条件下的期望总体代价;如此将 ROC 曲线图的每个点转化为代价平面上的一条线段,然后取所有线段的下界,围成的面积即为在所有条件下学习器的期望总体代价,如图所示:

以上就是 由混淆矩阵引申出来的指标了,当然这些指标都是用来评估分类模型的。下篇文章,我们再来介绍回归模型的评估指标。
# 指标图

# 最后
希望和你一起遇见更好的自己
