k-近邻算法 ,英文名: K Nearest Neighbor 算法 又叫 KNN算法 ,这个算法是机器学习里面一个比较经典的算法, 总体来说 1 算法是相对比较容易理解的算法.
# 定义
如果一个样本在特征空间中的 k 个最相似 (即特征空间中最邻近) 的样本中的大多数属于某一个类别,则该样本也属于这个类别。
KNN算法最早是由Cover和Hart提出的一种分类算法。应用场景有字符识别、文本分类、图像识别等领域。
# 算法的理解
举一个例子来,来分析一下 KNN 算法的实现原理
假设我们现在有几部电影,如下图:

我们要 根据 搞笑镜头,拥抱镜头,打斗镜头的个数 这三个特征来预测出 《唐人街探案》所属的电影类型.
我们使用 KNN算法 思想来实现预测。
将样本中特征作为坐标抽,建立坐标系。从而建立特征空间。本例中,分别把 搞笑镜头,拥抱镜头,打斗镜头 作为 x,y,z 轴。然后把计算出每个样本和 《唐人街探案》 的距离,选择距离最近的前 k 个 ( KNN中的k ) 样本,这 k 个样本大多数所属的电影类别就是 《唐人街探案》的电影类型。
特征空间:是指已特征为坐标轴简历的一种特征的坐标系,可能是多维的。
那你可能对 距离 是如何计算的,有点疑惑。计算距离的方式有很多种。
先学习一下最简单的 欧氏距离。(初中都学过的!)
在二维坐标系中, 我们可以使用一下方式来计算出两个点的距离。

在多维的特征空间中,我们也可以使用同样的方式来计算欧式距离。如下图:

那计算一下样本集中的欧式距离,如下图:

并计算出了最近的 5 个样本中有三个喜剧片类型,2 两个爱情片类型。 那根据 KNN 就是喜剧片类型。
这就是 KNN算法 的核心思想了。
这个例子中,我们选则了 最近的 5 个样本,也就是 k=5 的时候,会有三个喜剧片类型,两个爱情片类型。这个 5 是如何选择的呢?
# k 值的选择
K值 选择问题,李航博士的一书「统计学习方法」上所说:
-
选择较小的
K值,就相当于用较小的领域中的训练实例进行预测,“学习” 近似误差会减小,只有与输入实例较近或相似的训练实例才会对预测结果起作用,与此同时带来的问题是 “学习” 的估计误差会增大,换句话说,K值的减小就意味着整体模型变得复杂,容易发生过拟合; -
选择较大的
K值,就相当于用较大领域中的训练实例进行预测,其优点是可以减少学习的估计误差,但缺点是学习的近似误差会增大。这时候,与输入实例较远(不相似的)训练实例也会对预测器作用,使预测发生错误,且 K 值的增大就意味着整体的模型变得简单。 -
K=N(N为训练样本个数),则完全不足取,因为此时无论输入实例是什么,都只是简单的预测它属于在训练实例中最多的类,模型过于简单,忽略了训练实例中大量有用信息。
在实际应用中, K值 一般取一个比较小的数值,例如采用交叉验证法 ( cross validation )(简单来说,就是把训练数据在分成两组:训练集和验证集)来选择最优的 K 值。对这个简单的分类器进行泛化,用核方法把这个线性模型扩展到非线性的情况,具体方法是把低维数据集映射到高维特征空间。
# KNN 的优化
KNN 算法需要计算所有的样本数据和预测数据的距离,需要选择出距离预测数据最近的 k 个样本数据的预测归类。在庞大的数据量面前,计算所有样本数据距离,显然是不可取的。为了避免每次都重新计算一遍距离, KNN 算法提供了多种优化方法, 比如 KD-tree , ball_tree , brute . 这几种优化方式的具体实现逻辑,我会在后面的几篇文章中挨个分析。
# 距离的计算
KNN 算法,最重要的就是距离。 除了上文提到的欧式距离,还有其他计算距离的方法吗?
有。
除了欧式距离,还有 曼哈顿距离,
# 曼哈顿距离
在曼哈顿街区要从一个十字路口开车到另一个十字路口,驾驶距离显然不是两点间的直线距离。这个实际驾驶距离就是 “曼哈顿距离”。曼哈顿距离也称为 “城市街区距离”( City Block distance )。如下图:

计算公式见下图:

# 切比雪夫距离 (Chebyshev Distance)
国际象棋中,国王可以直行、横行、斜行,所以国王走一步可以移动到相邻 8 个方格中的任意一个。国王从格子 (x1,y1) 走到格子 (x2,y2) 最少需要多少步?这个距离就叫切比雪夫距离。

计算公式见下图:

# 闵可夫斯基距离 (Minkowski Distance)
闵氏距离不是一种距离,而是一组距离的定义,是对多个距离度量公式的概括性的表述。
两个 n 维变量 a(x11,x12,…,x1n) 与 b(x21,x22,…,x2n) 间的闵可夫斯基距离定义为:

其中 p 是一个变参数:
当 p=1 时,就是曼哈顿距离;
当 p=2 时,就是欧氏距离;
当 p→∞ 时,就是切比雪夫距离。
根据 p 的不同,闵氏距离可以表示某一类 / 种的距离。
小结:
1 闵氏距离,包括曼哈顿距离、欧氏距离和切比雪夫距离都存在明显的缺点:
e.g. 二维样本 (身高 [单位:cm] , 体重 [单位:kg] ), 现有三个样本: a(180,50) , b(190,50) , c(180,60) 。
a 与 b 的闵氏距离(无论是曼哈顿距离、欧氏距离或切比雪夫距离)等于 a 与 c 的闵氏距离。但实际上身高的 10cm 并不能和体重的 10kg 划等号。
2 闵氏距离的缺点:
(1) 将各个分量的量纲 ( scale ),也就是 “单位” 相同的看待了;
(2) 未考虑各个分量的分布(期望,方差等)可能是不同的。
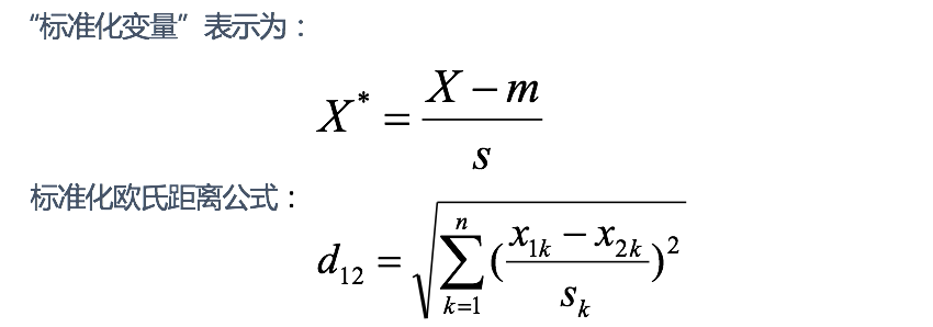
# 标准化欧氏距离 (Standardized EuclideanDistance)
标准化欧氏距离是针对欧氏距离的缺点而作的一种改进。
思路:既然数据各维分量的分布不一样,那先将各个分量都 “标准化” 到均值、方差相等。假设样本集 X 的均值 ( mean ) 为 m ,标准差 ( standard deviation ) 为 s , X 的 “标准化变量” 表示为:

如果将方差的倒数看成一个权重,也可称之为加权欧氏距离 ( Weighted Euclidean distance )。
# 余弦距离 (Cosine Distance)
几何中,夹角余弦可用来衡量两个向量方向的差异;机器学习中,借用这一概念来衡量样本向量之间的差异。
二维空间中向量 A(x1,y1) 与向量 B(x2,y2) 的夹角余弦公式:

两个 n 维样本点 a(x11,x12,…,x1n) 和 b(x21,x22,…,x2n) 的夹角余弦为:

即:

夹角余弦取值范围为 [-1,1] 。余弦越大表示两个向量的夹角越小,余弦越小表示两向量的夹角越大。当两个向量的方向重合时余弦取最大值 1 ,当两个向量的方向完全相反余弦取最小值 -1
# 汉明距离 (Hamming Distance)
两个等长字符串 s1 与 s2 的汉明距离为:将其中一个变为另外一个所需要作的最小字符替换次数。
例如:
1 | The Hamming distance between "1011101" and "1001001" is 2. |

汉明重量:是字符串相对于同样长度的零字符串的汉明距离,也就是说,它是字符串中非零的元素个数:对于二进制字符串来说,就是 1 的个数,所以 11101 的汉明重量是 4 。因此,如果向量空间中的元素 a 和 b 之间的汉明距离等于它们汉明重量的差 a-b 。
应用:汉明重量分析在包括信息论、编码理论、密码学等领域都有应用。比如在信息编码过程中,为了增强容错性,应使得编码间的最小汉明距离尽可能大。但是,如果要比较两个不同长度的字符串,不仅要进行替换,而且要进行插入与删除的运算,在这种场合下,通常使用更加复杂的编辑距离等算法。
# 杰卡德距离 (Jaccard Distance)
杰卡德相似系数 ( Jaccard similarity coefficient ):两个集合 A 和 B 的交集元素在 A , B 的并集中所占的比例,称为两个集合的杰卡德相似系数,用符号 J(A,B ) 表示:

杰卡德距离 ( Jaccard Distance ):与杰卡德相似系数相反,用两个集合中不同元素占所有元素的比例来衡量两个集合的区分度:

# 马氏距离 (Mahalanobis Distance)
下图有两个正态分布图,它们的均值分别为 a 和 b ,但方差不一样,则图中的 A 点离哪个总体更近?或者说 A 有更大的概率属于谁?显然, A 离左边的更近, A 属于左边总体的概率更大,尽管 A 与 a 的欧式距离远一些。这就是马氏距离的直观解释。

马氏距离是基于样本分布的一种距离。
马氏距离是由印度统计学家马哈拉诺比斯提出的,表示数据的协方差距离。它是一种有效的计算两个位置样本集的相似度的方法。
与欧式距离不同的是,它考虑到各种特性之间的联系,即独立于测量尺度。
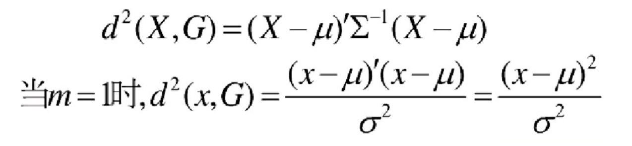
马氏距离定义:设总体 G 为 m 维总体(考察 m 个指标),均值向量为 μ=(μ1,μ2,… ...,μm,) , 协方差阵为 ∑=(σij) ,
则样本 X=(X1,X2,… …,Xm,) 与总体 G 的马氏距离定义为:

马氏距离也可以定义为两个服从同一分布并且其协方差矩阵为 ∑ 的随机变量的差异程度:如果协方差矩阵为单位矩阵,马氏距离就简化为欧式距离;如果协方差矩阵为对角矩阵,则其也可称为正规化的欧式距离。
# 马氏距离特性:
1. 量纲无关,排除变量之间的相关性的干扰;
2. 马氏距离的计算是建立在总体样本的基础上的,如果拿同样的两个样本,放入两个不同的总体中,最后计算得出的两个样本间的马氏距离通常是不相同的,除非这两个总体的协方差矩阵碰巧相同;
3 . 计算马氏距离过程中,要求总体样本数大于样本的维数,否则得到的总体样本协方差矩阵逆矩阵不存在,这种情况下,用欧式距离计算即可。
4. 还有一种情况,满足了条件总体样本数大于样本的维数,但是协方差矩阵的逆矩阵仍然不存在,比如三个样本点 (3,4) , (5,6) , (7,8) ,这种情况是因为这三个样本在其所处的二维空间平面内共线。这种情况下,也采用欧式距离计算。
# 欧式距离 & 马氏距离:

举例:
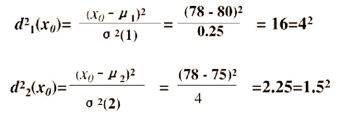
已知有两个类 G1 和 G2 ,比如 G1 是设备 A 生产的产品, G2 是设备 B 生产的同类产品。设备 A 的产品质量高(如考察指标为耐磨度 X ),其平均耐磨度 μ1=80 ,反映设备精度的方差 σ2(1)=0.25 ; 设备 B 的产品质量稍差,其平均耐磨损度 μ2=75 ,反映设备精度的方差 σ2(2)=4 .
今有一产品 G0 ,测的耐磨损度 X0=78 ,试判断该产品是哪一台设备生产的?
直观地看, X0 与 μ1 ( 设备A )的绝对距离近些,按距离最近的原则,是否应把该产品判断 设备A 生产的?
考虑一种相对于分散性的距离,记 X0 与 G1 , G2 的相对距离为 d1 , d2 , 则:

因为 d2=1.5 < d1=4 ,按这种距离准则,应判断 X0 为设备 B 生产的。
设备 B 生产的产品质量较分散,出现 X0 为 78 的可能性较大;而 设备A 生产的产品质量较集中,出现 X0 为 78 的可能性较小。
这种相对于分散性的距离判断就是马氏距离。

# 案例
# 预测鸢尾花种类
1 | from sklearn.datasets import load_iris |
# 输出结果
1 | 预测值为: |
# 使用 GSCV 优化
1 | from sklearn.datasets import load_iris |
# 输出结果
1 | 预测值为: |
# 预测 facebook 签到位置
1 | import pandas as pd |
本案例来自 Kaggle 的题目,感兴趣的朋友可以登录:https://www.kaggle.com/navoshta/grid-knn/script 查看
# 最后
希望和你一起遇见更好的自己
